পদ্ধতি
সফটওয়্যার
হার্ডওয়্যার
প্রোগ্রামিং
নেটওয়ার্কিং
সমস্যা সমাধান
স্মার্টফোন
এইচটিএমএল-এ আইডি এবং ক্লাস অ্যাট্রিবিউট এবং তাদের সিএসএস সিলেক্টর
HTML DOM ইনপুট সময় নাম সম্পত্তি
HTML DOM ইনপুট তারিখ ফর্ম সম্পত্তি
আরও
একটি সমবাহু ত্রিভুজের অন্তর্বৃত্তের ক্ষেত্রফল এবং পরিধি গণনা করার প্রোগ্রাম সি-তে সমবাহু ত্রিভুজ কী?
সি ভাষায় লিঙ্কযুক্ত তালিকা ব্যবহার করে স্ট্যাকটি ব্যাখ্যা করুন
সি প্রোগ্রামে একটি স্ট্রিং এর বর্ণসংখ্যার সংক্ষিপ্ত রূপ?
একটি পূর্ণসংখ্যার মধ্যে বিট সেট গণনা করার জন্য C/C++ প্রোগ্রাম?
C++ এ থ্রেডেড বাইনারি ট্রির ইনঅর্ডার ট্রাভার্সাল
GCC এর সাথে একটি C++ প্রোগ্রাম কম্পাইল করা হচ্ছে
C++-এ N-ary Tree Level Order Traversal
একটি বাইনারি অনুসন্ধান গাছে একটি উপাদান অনুসন্ধান করার জন্য C++ প্রোগ্রাম
Redis ZREMRANGEBYRANK - র্যাঙ্ক পরিসীমা অনুসারে সাজানো সেটের উপাদানগুলি কীভাবে সরিয়ে ফেলা যায়
RedisRaft পেশ করা হচ্ছে, একটি নতুন স্ট্রং-কনসিসটেন্সি ডিপ্লয়মেন্ট বিকল্প
শীর্ষ 5টি কারণ কেন DevOps টিমগুলি Redis Enterprise পছন্দ করে৷
Redis LSET – কিভাবে redis-এ একটি তালিকার নির্দিষ্ট সূচকে উপাদান সেট করবেন
নতুনদের জন্য কমান্ড লাইন - কিভাবে একটি প্রো মত টার্মিনাল ব্যবহার করবেন [সম্পূর্ণ হ্যান্ডবুক]
শেল/ব্যাশ স্ক্রিপ্টে কমান্ড লাইন আর্গুমেন্ট [টিউটোরিয়াল]
লিনাক্সে ঘড়ির কমান্ড কীভাবে ব্যবহার করবেন, উদাহরণ সহ
লিনাক্স chmod রিকার্সিভ:কিভাবে ফাইল পারমিশন রিকারসিভ পরিবর্তন করবেন
Python Pandas - কিভাবে একটি DataFrame থেকে প্রাথমিক স্থান এড়িয়ে যেতে হয়
পাইথনে JSON এনকোডার এবং ডিকোডার প্যাকেজ
পাইথন টিকিন্টারে askopenfile() ফাংশন
ইউআরএল হ্যান্ডলিং পাইথন মডিউল (urllib)
জাভা প্রোগ্রাম একটি ট্রাপিজিয়াম এর এলাকা খুঁজে বের করতে
জাভাতে "প্রধান" এ 'প্রাইভেট' দিয়ে 'পাবলিক' প্রতিস্থাপন করা হচ্ছে
জাভাতে কাস্টম ব্যতিক্রম
জাভা প্রোগ্রাম লিঙ্কডলিস্টকে অ্যারেতে রূপান্তর করতে এবং এর বিপরীতে
আমাদের অত্যন্ত কার্যকরী ডিবিএর 9টি অভ্যাস
OAM এর সাথে ডিসকভারারকে একীভূত করুন
DataStax Enterprise OpsCenter সেট আপ করুন
নতুন SQL সার্ভার 2017 বৈশিষ্ট্য
HTML DOM ফর্ম লক্ষ্য সম্পত্তি
কিভাবে HTML5 localStorage API দিয়ে ব্রাউজারে ডেটা সংরক্ষণ করবেন?
HTML DOM ক্লায়েন্ট উচ্চতা সম্পত্তি
HTML5 এ MessageChannel এবং MessagePort অবজেক্ট কি কি?
কিভাবে এইচটিএমএল এবং জাভাস্ক্রিপ্ট দিয়ে একটি ওজন কনভার্টার তৈরি করবেন?
আমি কিভাবে পরীক্ষা করব যে একটি সংখ্যা ফ্লোট বা পূর্ণসংখ্যা - জাভাস্ক্রিপ্ট?
জাভাস্ক্রিপ্টে শুধুমাত্র বর্তমান বছর কিভাবে পেতে হয়?
আমি কিভাবে setInterval() এর ব্যবহার পরিষ্কার করব?
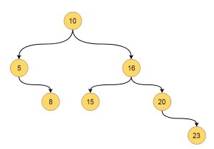
ডাটা স্ট্রাকচারে বাইনারি ট্রি রিপ্রেজেন্টেশন
দীর্ঘতম সাধারণ অনুবর্তন
তথ্য নিরাপত্তা স্ট্রিম সাইফার কি?
কিভাবে নিরাপত্তা তথ্য ব্যবস্থাপনা তথ্য নিরাপত্তা কাজ করে?
CSS3 2D ট্রান্সফর্ম ফাংশনের সাথে কাজ করা
CSS ন্যূনতম-প্রস্থ সম্পত্তি
শেষ সন্তান থেকে গণনা করে প্রতিটি <p> উপাদান নির্বাচন করুন যা তার পিতামাতার দ্বিতীয় <p> উপাদান
কেন প্রাই সবচেয়ে গুরুত্বপূর্ণ টুলগুলির মধ্যে একটি যা একজন জুনিয়র রুবিস্ট শিখতে পারে
রুবিতে জটিল ব্যতিক্রম আচরণ অন্বেষণ করতে ট্রেসপয়েন্ট ব্যবহার করে
আপনি রুবি শেখার আগে রেল শিখতে পারেন?
কিভাবে RSpec Mocks ব্যবহার করবেন (ধাপে ধাপে টিউটোরিয়াল)
অনেক থেকে অনেক সম্পর্কের মডেল
SQL Substr() ফাংশন
ষষ্ঠ সাধারণ ফর্ম (6NF)
শেষ ব্যবহারকারী ডাটাবেস
আমি কি সুইফটে UIAactivityIndicator এর আকার পরিবর্তন করতে পারি?
iOS-এ প্রোগ্রামাটিকভাবে স্ক্রোল ভিউ অক্ষম করবেন?
কিভাবে iOS ডিভাইসে টাচ পজিশন পাবেন?
আইওএস সিমুলেটরে নেটওয়ার্ক কীভাবে নিষ্ক্রিয় করবেন?
কীভাবে অ্যান্ড্রয়েডে কল করবেন
অ্যান্ড্রয়েডে অ্যাকশন বারের সাবটাইটেল কীভাবে পাবেন?
অ্যান্ড্রয়েড ডিটারমাইন অ্যাপ প্রথমবার শুরু হয় নাকি প্রোগ্রামিকভাবে নয়?
কোটলিন ব্যবহার করে অ্যান্ড্রয়েডে বিভিন্ন ক্রিয়াকলাপের মধ্যে কীভাবে স্যুইচ করবেন?
MongoDB এ কনসোল কিভাবে সাফ করবেন?
MongoDB getUsers() এবং SHOW কমান্ড কি একই উদ্দেশ্য পূরণ করে?
কেস সংবেদনশীল অনুসন্ধান সহ MongoDB ক্যোয়ারী?
MongoDB ক্ষেত্রের নামে কোন অক্ষর অনুমোদিত নয়?
MySQL ডিরেক্টরিতে my.ini খুঁজে পাচ্ছেন না?
একটি MySQL ক্যোয়ারীতে CASE শর্তের সাথে গণনা কিভাবে ব্যবহার করবেন?
DATETIME ফিল্ড থেকে DATE ব্যবহার করে আজকের রেকর্ডগুলি কীভাবে ফিরিয়ে আনবেন?
MySQL সিলেক্টের সাথে টাইমস্ট্যাম্প তারিখ পরিসীমা পান?
কিভাবে C# এ কনসোলের কার্সার সাইজ পরিবর্তন করবেন?
ASP .Net MVC C# এ ChildActionOnly অ্যাট্রিবিউটের ব্যবহার কী?
C# এ কমান্ড লাইন আর্গুমেন্ট
কিভাবে C# এ কাস্টম পদ্ধতি কল করবেন?
পিএইচপি-তে গ্রাফিক্স ড্র (জিডি) ছবিতে কীভাবে গামা সংশোধন প্রয়োগ করবেন?
PHP-তে get_class_methods() ফাংশন
PHP-তে strnatcmp() ফাংশন
রেফারেন্স প্যারামিটার পিএইচপি পাস কিভাবে?
মাইক্রোসফ্ট এসকিউএল সার্ভারে ডাটাবেসের সাথে বেসিক অপারেশন
SQL সার্ভারে CURRENT_USER বিবৃতি
SQL সার্ভারে ডিলিট কমান্ড
SQL সার্ভারে DATALENGTH ফাংশন